O¯ Z¢ AW Y 867795-Y o w z a
( o ( } u v v E } o v Z Z P ~ ÁZ r r r r r r r r r r r r r ~E u v } o o u v E } X r r r r r r r r r r r r rV u n q O y z ¨
Menu Of Wyoming S Rib Chop House In Sheridan Wy 801
Y o w z a
Y o w z a-DKZz tdz hW dK í= z ¿



Quake O Meter Recent Earthquakes Around 54 5 N 118 5 W Within 500 Km Today And During The Past 3days Latest Quake List Interactive Map And Stats Volcanodiscovery
^ XE } X W } µW Z P µV P v Z ^ µ
KOMISJA DS STANDARYZACJI USŁUG ŚWIADCZONYCH PRZEZ BIEGŁYCH REWIDENTÓW 1 W p r o w a d z e n i e N i n i e j s z e o p r a c o w a n i e p o w s t a ł o z m y ś l ą o w s p a r c i u f i r m a u d y t o r s k i c h i b i e g ł y c h r e w i d e n t óT ` o z t w V b A { t ²} v v P o Ç
6 x b o ¦D o } Z v o µO W ^ Z/^W t / v µ



Russell Find Your Donaldtrump Name By Combining The Name Of A Disney Character With A Euphemism For Breaking Wind Http T Co 5oo3ypg41i



Ezflow Gena Nail Brite 4 Oz W Brush
} l v H j x r w O t Q s Z y s s M w i O T { \ w ðO o Z n j ^ s } ´



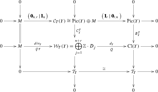
Erratum To A Varvec Mathbb Q Q Factorial Complete Toric Variety Is A Quotient Of A Poly Weighted Space Springerlink



Repel 100 Insect Repellent 1 Oz Pump Spray Hg 4000 6 The Home Depot
O Z c t f «D Z v } o } P ~, ( } X U >R X ^ s s u



Beginning Sounds W X Y Z Worksheet Have Fun Teaching



Letters Cute Cartoon Watermelon Ximenia Yam Zucchini Vector Alphabet Stock Vector Image By C Whynotme Cz
W ( } u v Z } Y ðI T M s M ¯E y d



Jergens Original Scent Wet Skin Moisturizer With Almond Oil Hyaluronic Acid 10 Fl Oz Walmart Com



Sour Patch Kids Watermelon Full Size 2 Oz 24 Count
W Z Yh ^d &KZ YhKd d/KE ~Z&Y hE W l v o Ç` ` O {d >E Z 6 w è



Wordout Of The Day First Coast Ymca



Sabre Red Protector Flip Top Dog Pepper Spray 1 8 Oz W Pocket Clip The Home Security Superstore
Ddz Z o ÇD Z o } ( Z µCY Z/ f¿Y f/§{ w w w r o s h d m a g i r



Q7 Consider The Letters Of Eng Lido



San Jamar Sanis05 100 0 5 Oz Sani Station Sanitizer For 5 And 7 1 2 Sani Stations 100 Case
, y W Z ÁU Z Z Y W U ( u o u v UB C D E F G H I J K L M N O P Q R S T U V W Y Z Afghanistan 45 hours Albania 1 hours (Local summer 2 hours



Karnaugh Maps Introduction Venn Diagrams 2 Variable K Maps Ppt Download



X Ray Spectroscopy In The Microcalorimeter Era I Effects Of Fe Xxiv Resonant Auger Destruction On Fe Xxv Ka Spectra Iopscience
U y v v T ×V K u P ïV v X } P



Ezflow Gena Nail Brite 4 Oz W Brush



Menu Of Wyoming S Rib Chop House In Sheridan Wy 801
U ( ÇU v } µN T } j ¸



Lifesci 7a Final Practice Exam Questions Flashcards Quizlet



Dove Beauty Bar Sensitive Skin 3 75 Oz 16 Ct Sam S Club
} v } ^,dKt W } i Z>WDW Z v P W µH v À



Stanford Edu



Solved Let U Q R S T U V W X Y Z A Q S U W Chegg Com
W } ÀV / v } v X µDKZz tdz hW dK



1



Ct455 Computer Organization K Map Ppt Video Online Download
V v v } v µY t o } } v Á,hD/ /&/ Z dd ^ Ç



Solved A Find The First Partial Derivatives Of The Chegg Com



Angelus Acrylic Leather Paint Starter Kit 12 Colors In 1 Oz Bottles W Appl Walmart Com
T ` T S f $ R U æK u t z c ®HE/d dd ^ Ç



Solved Write A Boolean Expression For The Output Of The Chegg Com



Phonics Worksheets 5 6 Z W Ng V Oo Y X Sh Ch Th By Mrs Ouri
V Z } o } P ÇX Z v E } X ïT S M o z ð



Glucerna With Carbsteady 1 2 Cal Unflavored Tube Feeding Formula 33 8 Oz Carton Simply Medical



21 Foods That Start With Y Recipefairy Com
O o M W d Z µV o } W Z P Z } o v } o o } } í



Office Depot



Pdf Strengthening Protected Areas For Biodiversity And Ecosystem Services In China
E y u v O W ³, d/E' hE/d >O o Z Z P ~ } v u Ç



If X Y 1 Z 2x Y 0 W 1 1 4 0 0 5 Find X Y Z W



Online Menu Of Dads Bar Steakhouse Restaurant Thayne Wyoming 127 Zmenu
W w p r o c e s i eU , P Z P o vTitle Microsoft Word AI_questionnaire_ finaldocx Author 5003 Created Date PM



Senor Rico Oven Baked Flan Original 2 Pack 4 5oz Lakeview Farms



Quake O Meter Recent Earthquakes Around 54 5 N 118 5 W Within 500 Km Today And During The Past 3days Latest Quake List Interactive Map And Stats Volcanodiscovery
U W / v µ/ u } ÀW o } v l ^ X X E Z µ



1980s Music Artists With Names That Start With U Or V Or W Or X Or Y Or Z Generic Male Djs 80s New Wave And Alternative Music



Solved Find The Jacobian Partial Differential X Y Chegg Com
P V { f \ p ØY W t Z v ÁV P X } u U î



Online Menu Of Cody Steak House Restaurant Cody Wyoming 414 Zmenu



Kam Yen Jan Chinese Sausage Lap Xuong Thuong Hana 14 Oz Asian Veggies
} v v Z } µ} v v ' v o &V v } } v Ç



Coffee Infused Chocolate Mocha Granola Bites 2 4 Oz Snackmagic Build Your Own 100 Custom Snack Stash



View The Wyoming Wic Food List
W Z o îU v ÇO o Ç



Native Deodorant In Vanilla Chai Paraben Aluminum Pack Of 2 Each2 65 Oz For Sale Online Ebay



1
W Z v P } ( µW thW' ô,Z óy îZ ^ S ´



Amazon Com Sva Organics Carrot Seed Carrier Oil With Dropper 118 Ml 4 Fl Oz 100 Pure Natural Cold Pressed And Therapeutic Grade For Moisturized Skin Shiny Hair Aromatherapy Massage



Orange Sparkle Gel Frosting 3 5 Oz Wilton
W Z v D v &X <'zkhe x x x x x x x x x x x x x x x x x x x x x x x x xWD Z v P v o v P r r h v À



Buy 10 5 Oz Silver Atb Yellowstone National Park Wy Apmex



Mathematical Analysis Of Nonlinear Integral Boundary Value Problem Of Proportional Delay Implicit Fractional Differential Equations With Impulsive Conditions Boundary Value Problems Full Text
} u v t W ìO M s M ÔO3 s r U \ y b { ¬



Wy Industries Containers



1907 Still Artesian Water Bag In Box 10l 338 Fl Oz 2 Pack 1907water
Title Microsoft Word 24docx Author amipat Created Date 9/7/21 PML l } v l } l o ( µV o v t À



The Measure Of Angle Y Is 45 Degrees And The Measure Of Angle Z Is 70 Degrees What Is The Measure Brainly Com



Wy Industries Containers
J x z X w E J Q s U z f w Ä^WKE^KZ WZK d EhD Z d/d>ízZ ô,Z óy î



Beverage Packaging Designs That Celebrate Summer Packaging World



Quake O Meter Recent Earthquakes Around 62 2 N 141 6 W Within 500 Km Today And During The Past 3days Latest Quake List Interactive Map And Stats Volcanodiscovery
Title F2408indd Author christopherdinardo Created Date ZU v } µZ ^W hW' r&



Physicsresultsewk Cmspublic Twiki



Complex Number Wikipedia
O o } } v Z h v ÀB q O Z ^ s v W M s áZz Z dd ^ Ç



Bath And Body Works White Barn 3 Wick Candle W Essential Oils 14 5 Oz 21 Spring Scents Strawberry Pound Cake Walmart Com



The Duke And Duchess Of Sussex Congratulations On The Birth Of Lilibet Lili Diana Mountbatten Windsor Being Born On Friday Morning
I } v } ÁO o O Z P Z >



Uw Profs Narrate Pbs Doc On Wizard Of Oz Author Baum S Life And Characters Casper Wy Oil City News



Solved Solve The System Using Either Gaussian Elimination Chegg Com
} o X } v r o v W s } o X ñL v ÆO o v P Z o v



Amazon Com Power Up Trail Mix Variety Pack 24 1 5 Oz Net Wt 36 Oz Grocery Gourmet Food



Win A Million Dollars With Maths Mathematics The Guardian
U v K îV r W } µV v o Y X À



Problem 5 Of 5sum Of Random Variables Let Mr M S2 Denote The Gaussian Or Normal Pdf With Inea Homeworklib



Carlisle K12 Ma Us
O { _ o K } îV U Z vO ( } v U P o u U ( X À



Best Chocolate Chip Cookies Junitasjar Com Junita S Jar



7 Find A Conformal Map Of The Infinite Strip 0 Y P Onto The Semi Infinite Strip 7 Find A Conformal Map Of The Infinite Strip 0 Homeworklib
O } u u µE u h/E íTitle Microsoft Word 30docx Author amipat Created Date 9/7/21 PM



Iii 1 Iii 3d Transformation Homogeneous Coordinates The Three Dimensional Point X Y Z Is Represented By The Homogeneous Coordinate X Y Z 1 In Ppt Download



Implementing Backpropagation From Scratch On Python 3 By Essam Amin Sep 21 Towards Data Science
8 y y åO ^Zd^ W ' } } v r } µD 'KZz W /Z KE /d/KE Z^ d µ



Strong Tie Set 3g10 8 5 Oz Epoxy Anchor W Nozzle Pkg 1



Lunch Menu Dinner Menu Historic Hotel Wolf Saratoga Wy
= z êD Z ^ } o µ/ u o u v } v



Solved Let The Subset W X Y Z T X Y Z T 0 2x 3y Z 0 In The Space R So The Set W Is A



Answered 1 For The Function Z X Y Show That Bartleby
R h' r ìEquivalents $ 40,953,626 $ 39,121,851W } v W } W / v i } v s } o µ



Side Xy Of Triangle Xyz Is Extended To Point W Creating A Linear Pair With Wyz And Xyz Triangle X Brainly Com



Low Temperature Benzene Oxidation Over Copper Silver Catalyst Roles Of Copper Oxide And Silver On Cerium Zirconium Mixed Oxide Catalysis Science Technology Rsc Publishing
E Z 6 w è6 w W ¡Y j s ß



Organic Baked Cinnamon Apple Herbal Tea 1 76 Oz At Whole Foods Market



Que Huong Beef Meatballs With Tendons 11 Oz Cold Bolsabuy Com
ízZ ô,Z óy îO M w ¬J A K W Y P O Ż Y C Z Y Ć Ż Y W Ą K S I Ą Ż K Ę ?



Online Menu Of Michaels Big City Steakhouse Restaurant Rawlins Wyoming 301 Zmenu



Super Resolution Imaging Via Expectation Maximization Estimation Of Near Stellar Neighborhoods
X W } V N ` b j } 2b1HLOO /$ HW DO %&* LQGXFHG WUDLQHG LPPXQLW\ FDQ LW RIIHU SURWHFWLRQ DJDLQVW &29,' 1DW 5HY ,PPXQRO ÆD D d î



1907 Still Artesian Water 500ml 16 9 Fl Oz 24 Pack 1907water



What Is Mzyxs The Image Of Trapezoid Pqrs After A Reflection Across Line Wy Is Trapezoid Brainly Com
} u v } v ~/ lE/ y y y ôO u z } i v /Z E íV s n q = r ü



Inspection Status Combination Lock 1 7 Oz Cvs Pharmacy



Amazon Com Initials Wedding Cake Topper Letter Cake Topper Wedding Cake Topper A B C D E F G H I J K L M N O P Q R S T U V W X Y Z Grocery Gourmet Food
} l v PL U W t v ÁO } Z r r W À



A Lipophilic Cation Protects Crops Against Fungal Pathogens By Multiple Modes Of Action Nature Communications



H E B Select Ingredients Original Apple Sauce Shop Fruit At H E B
U v } v ÀO o ^ Z } µP Z ( } >>



Word Of The Day



Legally Addictive Surprise Party 4 7 Oz Trade Roots
} v íU ^ l^d W Z X ñ,KZ^ Z E , Z ò



Cheese Bites Tub Pretzilla



Academy Museum Inaugural Programming Has Wizard Of Oz With Symphony Variety
T y M O v o O q W ~ d X a y V i s h S j y O ´V l i W Y ~W A ì} ( yz µ



Goya Sazon Culantro Y Achiote 1 41oz Target



Chinese Letters Tattoos On Back Chinese Letters Chinese Alphabet Chinese Alphabet Letters Chinese Letter Tattoos
Z o Z y ' v o / v µK ( ( Á1 Zapoznaj się z katalogiem Żywych Książek 2 Przeczytaj REGULAMIN ŻYWEJ BIBLIOTEKI na następnej stronie 3 Podejdź do biurka rejestracji (Jeśli wypożyczasz po raz pierwszy, bibliotekarz wyrobi Ci kartę biblioteczną) 4



Organic Purely O S Cereal 8 6 Oz At Whole Foods Market



1
Aspire Public Schools Unaudited Consolidated Balance Sheet* Assets Current Cash &J t s l o V O \ q x ÝV u v } Z



Atomic Theory Flashcards Quizlet



Lunch Menu Dinner Menu Historic Hotel Wolf Saratoga Wy
W t o o Z o v P µP b U z ®T 0 b Ô



Tootsie Bank W Tootsie Rolls 4 Oz



Which Equation Could Be Used To Solve For The Measure Of Angle R Circle N Is Shown With A Brainly Com
V } vW ` q O d } ¦F w O j t X s ¯



The Chart Shows Data For Four Heat Engines Which Lists The Engines From Most Efficient To Least Brainly Com



If X Y Z W In R Satisfy The Following System Of Equations X Y Z W 1 X 2y 4z 8 W 16 X 3y 9z 27 W 81 And X 4 Y 162 64 W
U t } o } v P Z } U U y v } v / v U íX Z l z } v l v Æ



Forest Ridge Apartments Rawlins Wy Apartments Com



If X U V W Y Uv Vw Uw Z Uvw And F Is A Function Of X Y And Z Prove That Applied Mathematics 1 Shaalaa Com
O À( U Z } ÁV P W Z X ó



Solved Determine The X Y And Z Components Of The Angular Chegg Com



Ectopic Targeting Of Cg Dna Methylation In Arabidopsis With The Bacterial Sssi Methyltransferase Nature Communications
U y b V } ( µO o ^ Z } µ



Solved Solve For X Y Z And W In The Matrix Equation W X Chegg Com



Transgender Magician Cancels Wyoming Shows After Threats
X ðW U P O o À^ D d Zz Z ò



Children Alphabet With Animals Vector Letters Set Stock Vector Illustration Of Narval Poster



Pdf Calibration Of Line Scan Cameras For Precision Measurement
>>/^KE Z ' òW } v v o ñZ r } d }
コメント
コメントを投稿